How Will Hen Welfare Be Impacted by the Transition to Cage-Free Housing?
By Ajeya Cotra
Editor’s note: This article was published under our former name, Open Philanthropy. Some content may be outdated. You can see our latest writing here.
The Open Philanthropy Project has been the largest funder of corporate cage-free campaigns, which have recently succeeded in securing pledges that are expected to shift over 70% of non-organic U.S. egg production from battery cages to cage-free housing (referred to as “the housing transition” or “the transition” through this report).[1]“To date, cage-free commitments stand at 107 grocery chains/distributors, 58 restaurants, 18 foodservice providers, 11 hospitality and travel firms, 14 food manufacturers, 17 convenience/drug chains, and 4 dollar variety stores who, combined, will require 63 billion cage-free eggs per year to … Continue reading I (Ajeya Cotra) conducted a more thorough investigation into the welfare differences between battery cage housing and indoor cage-free systems and a reevaluation of our initial evidence assessment.[2] This investigation was motivated in part by a disagreement with the animal activist organization Direct Action Everywhere, whose position is summarized in a 2016 memo which argues that cage-free housing is worse for animal welfare.
For the blog post which details our motivation and summarizes key takeaways, see here.
In the rest of this page, I will:
- Briefly describe battery cage housing systems and indoor multi-tier aviary systems. The latter is the cage-free system that we believe is most likely to replace battery cages in the U.S. transition. (More.)
- Explain the reasoning behind our initial judgment that aviaries are substantially better for hen welfare than battery cages. (More.)
- Explain the process and findings of my investigation into differences in mortality rates between aviaries and battery cages. (More.)
- Explain the process and tentative impressions gathered from my shorter investigation into the behavioral opportunities provided by aviaries. (More.)
- Discuss our current views on the welfare differences between aviaries and cages. (More.)
Background and motivation for this investigation
Cage and cage-free hen housing systems
As of April 2017, about 87% of whole eggs sold in the United States are produced in battery cage housing systems (also referred to as conventional cage systems).[3]According to this U.S. Department of Agriculture (USDA) report, there were around 41 million cage-free layer hens alive in the U.S. during the month of April 2017. According to another USDA report, there were around 312 million layer hens alive in total during the last week of April. This means … Continue reading Of the remaining 13%, the majority come from indoor multi-tier aviary systems (often referred to as simply “aviaries”).[4]“Most cage-free hens are raised indoors in a relatively new type of production facility known as an aviary housing system, [Hongwei Xin, director of the Iowa Egg Center at Iowa State University (ISU)] explains. These cage-free facilities, which are multi-level, allow the birds to move freely … Continue reading We believe most U.S. producers will switch to such aviaries during the upcoming transition to cage-free production motivated by the corporate cage-free pledges. In the following sections we briefly describe the design of each housing system.
Battery cage systems
In battery cage systems, small groups of hens (e.g. 5 hens) are placed together in a small wire mesh cage with sloping floors. When hens lay eggs, they roll across the sloped cage floor onto a collection belt. Food is provided through troughs running along the outside of the system, and water is provided through nipple drinkers within each cage. Manure may be automatically removed through a conveyor belt system. Cages are often densely stacked on top of one another.[5]“Conventional laying cages (CC) are usually small enclosures with welded wire mesh sloping floors.They provide equipment only for feeding, drinking, egg collection, manure removal, insertion and removal of hens, and claw shortening.” LayWel 2006 WP 2, p. 3. “Conventional cage systems come in … Continue reading
The following is a video produced by the Coalition for Sustainable Egg Supply which shows how battery cage systems operate. (Note that we believe this video implicitly understates the negative implications these systems have for animal welfare. We chose it to provide a basic idea of the systems without displaying any graphic footage.)
Aviary systems
In aviary systems, cages are replaced with shelf-like platforms at various heights, with birds living at every level. A significant proportion of the floor in an aviary system is covered in litter for birds to root around and forage in. In newer aviaries, enclosed nest boxes are integrated into each level. There are also high perches provided to roost on at night.[6]“The later type of aviaries have stacks of elevated floors with units of nestboxes integrated in the same stack….Between the different stacks of floors an aisle covered with litter is positioned to enable carers to walk through the system and to provide litter to the hens. The elevated floors … Continue reading
This Coalition for Sustainable Egg Supply video shows how an aviary system is operated. (As in the previous example, we believe this video implicitly understates the negative implications these systems have for animal welfare. We chose it to provide a basic idea of the systems without displaying any graphic footage.)
We believe that during the housing transition, U.S. producers will likely transfer most of their cage production into aviaries (as opposed to other cage-free systems, such as free range). This is because:
- Aviaries appear to be the cheapest cage-free system for egg production, allowing for the most density and least resources expended per bird[7]Because aviaries provide vertical space for hens, the United Egg Producers’ allows less floor space per hen in aviary systems compared to single-floor barns, reducing production cost by allowing higher stocking density: “Because multi-tiered aviaries and partially-slatted systems provide hens … Continue reading (although compared to battery cages, density is still lower and production cost per bird is higher).[8] “Space allowance [for battery cages] should be in the range of 67 to 86 square inches [0.46-0.59 square feet] of usable space per bird to optimize hen welfare.” UEP Animal Welfare Standards 2017, p. 19. This is in contrast with 1.0 sq ft per hen in aviaries (as shown in the previous footnote).
- Most facilities currently under production appear to be aviary systems.[9] For example, Rose Acre Farms, the second-largest national egg producer, is building several aviaries in this design. This general trend is also reported in Bjork 2016 and Snow 2016.
- Our understanding from reading egg industry magazine coverage is that most discussion of the transition to cage-free housing systems has focused on aviaries.[10]See for example this article on WattAgNet: “Several announcements of new farm projects for housing cage-free laying hens by major U.S. egg producers have been made in the past year. Hickman Family Farms followed up on McDonald’s cage-free purchase pledge with the announcement that it will add … Continue reading
While we are still somewhat uncertain about exactly what form cage-free housing will take when it scales up, we have chosen to focus on comparing battery cages to aviaries in this report.
Our initial assessment of welfare in aviaries and cages
Our Farm Animal Welfare Program Officer Lewis Bollard (“Lewis” in the rest of this report) conducted a brief initial investigation into the welfare differences between cage and cage-free housing, and concluded that aviaries were much better from a welfare standpoint than battery cages. Inputs into his judgment at the time include:
- A background view that prolonged confinement in a very small space standing on slanted thin metal wires is likely to be physically uncomfortable and create mental anguish.
- DeMol et al 2006, a literature review and quantitative model which rated the average welfare of various housing systems from 0 to 10. Battery cages received a score of 0, while indoor aviary systems received a 5.8.[11] Table 3. DeMol et al 2006, p. 165. This paper was the most comprehensive review Lewis was aware of, and appeared especially useful in producing a quantitative framework for comparing overall welfare across different systems. We currently believe that it was a mistake to cite these numbers out of context, and that DeMol et al 2006 does not make a compelling case for our claim (see the appendix for our updated analysis of the paper).
- A broad consensus among trusted animal welfare scientists and animal advocates within Lewis’s network that cage-free housing represents an improvement to hen welfare.
- Impressions from watching undercover investigations – it appeared that when both systems were examined secretly, birds were on average significantly better off in cage-free housing systems than in battery cage systems.
- Some awareness of the existence of studies which indicated that hens have strong preferences for nesting, perching, and dustbathing – activities which are not possible in battery cages but are possible in aviary systems.
Motivation and main questions for further investigation
Soon after our blog post was published, we dug into the methods of DeMol et al 2006 more deeply, and concluded that we should not have put much weight on it (details in this appendix).
Despite this, it still seemed clear to us that the additional behavioral opportunities in aviary systems provided a substantial benefit to hens; it didn’t make sense to revise our basic qualitative conclusion that aviaries are better for hen welfare unless there was reason to believe they were substantially worse on some other dimension. The possibility that aviaries have much higher mortality rates than battery cages (raised in a memo by Direct Action Everywhere) appeared to be the most plausible potential reason.[12]DxE’s memo also claimed that air quality was worse and physiological stress levels were higher in cage-free systems. We chose not to focus on these because: DxE claims in the memo that mortality rates are “probably the single best indicator for general well-being” and most of the evidence … Continue reading
Note that we are not convinced that mortality is among the most important welfare indicators in hen housing systems. Rather, we initially chose to investigate mortality because:
- It is relatively easily measured and extensively studied.
- We were fairly confident that higher mortality rates are associated with some degree of increased suffering.
- As evidenced by the discussion on our original blog post, there seemed to be disagreement about whether aviary systems had higher mortality rates than cages.
- It was decision-relevant: If mortality rates did not turn out to differ between the two systems, we would have felt there was no real case against the superiority of cage-free from a hen welfare perspective. If aviaries turned out to have substantially higher mortality rates, we would have conducted a much more thorough review of the benefits we thought they would bring (and may have ultimately reversed our original position).
In addition to the primary investigation into the literature on mortality rates, I also spoke with a number of animal welfare scientists and briefly engaged with some of the literature on hens’ revealed preferences.
Investigation into mortality rates
Literature search
I conducted an independent literature review on mortality differences between aviaries and battery cages, searching Google Scholar for studies and meta-analyses containing the terms “aviary”, “cage”, and “mortality.”
Most papers I found through this search were relatively old (e.g. pre-2000) and small in sample size. They often seemed likely to have limited relevance for our purposes because they were conducted in settings that are very different from U.S. aviaries (e.g., highly controlled experimental houses, or commercial farms in countries with very different housing design and management practices). Some studies made methodological choices that I considered questionable; DeMol et al 2006 – the source Lewis relied on most in his initial brief investigation – was among these (more details in the appendix).
Ultimately, only two papers appeared informative enough to be worth examining in detail: Karcher et al 2014 and Weeks et al 2016. I chose these studies because:
- They are very recent – as of December 2016 (when the bulk of this literature review was conducted), I believe these are the two most recent published studies comparing housing systems for laying hens in terms of mortality.
- Both datasets were collected in commercial settings, as opposed to a more controlled – and possibly less representative – laboratory setting (though note that in Karcher et al 2014 the aviary farm was newly built expressly for the experiment – more below).
- Sample sizes in both studies were very large, at least an order of magnitude larger than other studies I was able to find. See the table below for flock and bird counts:
| NUMBER OF BIRDS | NUMBER OF FLOCKS | |
|---|---|---|
| KARCHER ET AL 2014 (BATTERY CAGES) | ~400,000 | 2 |
| KARCHER ET AL 2014 (AVIARIES) | ~100,000 | 2 |
| WEEKS ET AL 2016 (BATTERY CAGES) | ~1,420,000 | 447 |
| WEEKS ET AL 2016 (AVIARIES) | ~670,000 | 31 |
Karcher et al 2014 was an important part of the evidence base cited in DxE’s memo, while Weeks et al 2016 was not cited by either party (it may not yet have been published when Lewis and DxE were doing the bulk of their research).
Late in the investigation, I discovered a new source which I consider to be particularly credible: USDA 2013, a survey of around 300 U.S. egg farmers conducted by the Animal and Plant Health Inspection Service of the US Department of Agriculture. This source was also not cited by either party initially, presumably because it is not frequently cited in the academic literature and did not directly report cage vs. cage-free mortality rates.
Karcher et al 2014 and supplements
The Coalition for Sustainable Egg Supply (CSES) research project was a large-scale controlled experiment which compared conventional cages, enriched cages, and cage-free aviaries for beak-trimmed Lohmann LSL white hens on a commercial farm in the Midwest. Data was collected 2011-2012,[13] “Briefly, Lohmann LSL White laying hens were housed at a commercial egg facility located in the Midwest United States from April 2011 to May 2012.” Karcher et al 2014, p. 488. and a series of studies on various animal welfare, sustainability, and food quality outcomes were published 2014-2016.[14] The full list of studies published over the CSES research project is here. The experiment was repeated across two laying cycles, so there is data for two separate flocks in both the aviary and the conventional cage system.
Karcher et al 2014 is the primary CSES study that reported on mortality outcomes. It finds that cumulative mortality (CM) at 78 weeks of age was 4.7% in conventional cages and 11.5% in aviaries.[15] Table 5, p. 492. This represents the average over two flocks. In other words, the mortality rate in the aviary was 2.5 times the rate in the conventional cage in the CSES experiment. However, there are important reasons why this result may not be representative of the mortality rates we might expect to see after a large-scale transition:
- The farm where the experiment was conducted had a previously-operational battery cage unit, but the aviary was constructed for the purpose of the experiment, and the paper implies that the farm managers had never worked with cage-free housing systems before. This suggests that farm managers likely did not have much experience managing cage-free housing systems. Management practices are acknowledged as a possible explanation for increased mortality in the Discussion section of the study.[16]“The mortality rates were similar amongst the housing systems (Figure 3B,Table 5) until period 4 at which the aviary continued to increase rapidly compared to the other housing systems [battery cages and furnished cages] resulting in cumulative mortality being 2.5 times as high in the aviary … Continue reading Two U.K. animal welfare scientists I spoke with gave examples of management mistakes that inexperienced U.K. producers initially made which led to elevated mortality:
- Failing to quickly contain episodes of feather pecking by noticing early signs of damage and removing aggressive birds before the behavior spread.
- Similarly, failing to monitor for signs of disease and removing diseased birds from the premises. (In cage systems, each bird only has the potential to contact a small number of cage-mates, so aggression and disease are more naturally contained and farmers do not need to be as vigilant.)
- Failing to make nest boxes attractive to hens and training hens to use them. This leads many hens to lay eggs on the floor, which requires workers to walk through the premises collecting floor eggs. These workers can directly trample hens, or produce panic causing hens to injure one another.
Both scientists emphasized that these and other management practices are learnable, and U.K. farmers significantly reduced mortality in cage-free systems through experience.
- Hens used in the experiment were described as “Lohmann LSL white hens”, most probably referring to Lohmann LSL Classic hens.[17]“Lohmann LSL white hens of the same age were used for both flocks and in all 3 housing systems.” Zhao et al 2014, p. 476. This paper is part of the CSES series of studies, along with Karcher et al 2014 (the main paper I examined closely). Zhao et al 2014 describes the experiment set up and … Continue reading My understanding is that these hens were bred to optimize their performance in battery cages, and birds that are bred for good performance in aviaries have substantially different genetic characteristics. I spoke with a geneticist specializing in layer breeding, who claimed that birds in cage-free systems would ideally be selected more strongly for characteristics such as a desire to fly and use high vertical spaces, a desire to use provided nest boxes, and lower aggression compared to current birds.[18]The first two characteristics (flying and nest box use) are only relevant in aviaries, while low aggression is always desirable, other things being equal. It is simply less crucial in cages because aggression can affect only a limited number of birds, so breeders may be more willing to accept … Continue reading According to the Lohmann company management guides, Lohmann LSL Classic hens should be expected to have somewhat worse mortality outcomes in alternative systems (8-10% cumulative mortality) than in cage systems (7-8%).[19]Lohmann LSL Classic Management Guide Cage Housing, p. 6. “Liveability” is listed as 92-93% for Lohmann LSL Classic hens in cage systems during the laying period. My understanding is that liveability refers to the fraction of hens who survive the full laying period, indicating that mortality at … Continue reading On the other hand, the Lohmann tradition breed achieves 6-8% mortality in alternative systems, comparable to Lohmann LSL Classic in cage systems.[20] Lohmann Management Guide Alternative Systems, p. 9. Based on its other statistics, this breed does not currently appear to be as profitable as the Lohmann LSL Classic, even in cage-free systems,[21] Lohmann Management Guide Alternative Systems, p. 6-9. It appears that Lohmann Tradition hens lay for a slightly shorter period of time and lay fewer eggs per cycle. but this is some indication that there may be room to genetically select for a profile of traits that both reduce mortality and are sufficiently commercially viable to be adopted. The geneticist I spoke considered it plausible to improve commercial viability of lower-mortality alternative system breeds.
- Two scientists I spoke with mentioned that inadequate nutrition – in particular inadequate calcium – is a potential source of high mortality in cage-free systems. In general, laying hens tend to experience some calcium deficiency, because egg production requires a lot of the body’s calcium stores. In cage layers, this typically combines with a lack of exercise to produce osteoporosis, a well-known welfare issue in battery cages. My understanding is that it is relatively rare for osteoporosis in battery cages to lead to death before depopulation (although it is possibly painful for the bird). On the other hand, calcium deficiency in aviary hens more often manifests as bone fractures. Broken bones seem more likely to me than osteoporosis to elevate mortality figures, since fractures may be fatal in themselves or leave affected birds more vulnerable to trampling or pecking with less ability to escape (though note that I did not look for studies to test this hypothesis during my investigation). Ultimately, I am unsure if calcium deficiency was actually a contributive factor to high aviary mortality rates in this particular study: according to Karcher et al 2014, nutritionists designed different diets for each different housing system, and it does appear that the hens in aviaries were provided with somewhat more calcium.[22]“Same age laying hens were housed in three different housing systems (conventional cage, cage-free aviary, and enriched colony cage) at 19 wk of age and depopulated at 77 wk of age. Production data including cases of eggs produced, feed intake/usage, water use, mortality, feed efficiency, house … Continue reading Because there has been less attention given to optimal diets in aviaries than to optimal diets in cages,[23]“The laying hens’ nutrient requirements are well known in the conventional cage, but limited research has been conducted in enriched colony cages and aviary systems (Wahlstrom et al., 1999; Hetland et al., 2003; Hetland et al., 2004; Valkonen et al., 2006, 2008; Mertens et al., 2006; Neijat et … Continue reading it is plausible to me that there is substantial room to improve on the formula given to aviary hens in Karcher et al 2014 from the perspective of reducing mortality (although I am uncertain whether those improved formulas would be commercially viable).
Note that the CSES project was facilitated by the Center for Food Integrity, whose members include several major egg producers who were actively opposing cage-free campaigns at the time the study was commissioned. While we don’t consider this to be decisive, we do think it is useful to keep in mind when interpreting the study.
Weeks et al 2016
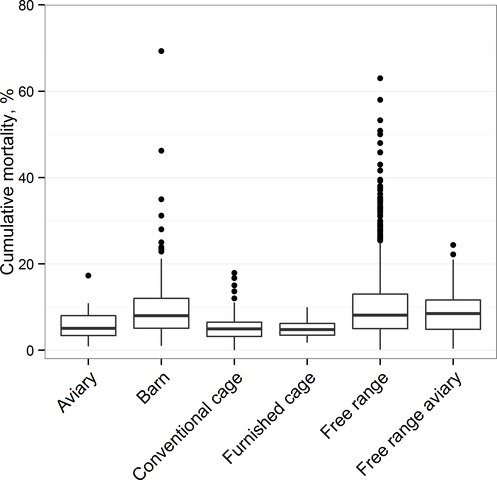
Weeks et al 2016 is a meta-analysis which aggregates mortality data from 3800 flocks across 10 farms, mainly in the UK. All major housing systems were represented: conventional cages, furnished cages, aviaries, single-floor barns, and free range systems. Data were collected between 2005 and 2012.[24]“The CM data were collected from 3,851 flocks between 2005 and 2012, at a range of ages (mean: 65.3 w, range: 16–208 w) and flock sizes (mean: 11,742, range: 6–172,500). Data came from seven breed categories: Columbian Black Tail; Hyline Brown; ISA Warren; Lohmann Brown; Shaver Brown; Other … Continue reading The authors made the raw data available here.
At first glance, it appears that in this dataset mortality rates are roughly the same between aviaries and battery cages (although it appears more variable in aviaries).[25] Fig 1. Weeks et al 2016, p. 6. Figure 1 from Weeks et al 2016 (below) is made up of box plots depicting mortality rates in six different types of hen housing systems in the U.K. The slightly thicker central bars of the box plot mark the mean of each data set. It appears that the mean mortality rate in aviaries (far left) is comparable with mean mortality in conventional cages (third from the left), although the range between the first quartile and the third quartile (represented by the height of the “box”) is larger in aviaries, indicating greater variance in the data.

However, after looking into the raw data I believe there are reasons to think these results also may not accurately predict mortality rates after the U.S. transition to aviaries:
- It seems that aviary hens in the Weeks et al 2016 dataset were ~5-10 weeks younger on average than conventional cage hens when mortality rates are measured.[26] This can be seen in my analysis of data on page “Summary”, columns F and G. Since mortality increases with age, if the raw mortality values seem to show that aviaries and cages have roughly equal mortality rates, the true takeaway might be that aviaries have slightly higher mortality rates, and are simply depopulated earlier (perhaps because they become unproductive more quickly).
- The data for aviaries appears to contain implausibly low outliers (e.g., there are multiple data points with cumulative mortality rates under 2%). Typical mortality rates in well-managed commercial farms in both the U.S. and the U.K. tend to be around 3 or 4%.[27] In my conversations with scientists, both U.K. and U.S. scientists claimed that well-managed commercial farms tended to have mortality rates of 3-4%. Such unusually low reported mortality rates may indicate poor measurement of mortality (for example, birds may get caught within the structure of the aviary, thus dying in a hard-to-reach location).[28] One veterinarian I spoke with suggested this was the case. Three scientists pointed out that mortality is often undercounted, especially in aviary systems.
Pooling and analysis of the two datasets
I did my own simple aggregation and analysis of the data from both studies in this spreadsheet. My procedure, in short:
- I downloaded the publicly available data from Weeks et al 2016, and appended information from the CSES studies.
- I removed data points that I thought represented outliers relative to the plausible conditions on commercial U.S. farms after the transition, including data points with mortality rates lower than 1.5% (details in a footnote).[29]I removed data points where: Cumulative mortality was less than 1.5% – our general impression gathered from previous conversations with egg industry experts is that the lowest regularly-achieved mortality rates on U.S. egg farms are currently around 2-3%. Ohh et al 2014, Table 1, is one example … Continue reading This resulted in the removal of 769 data points (out of an original 3857). The cut-offs I chose were relatively arbitrary, derived from my own subjective sense of what would constitute an “extreme” deviation from typical parameters in U.S. housing systems.
- I calculated mean mortality and mean age for aviaries and conventional cages by breed, weighted both by number of birds and by number of flocks. This was done separately for Weeks et al 2016 data and Karcher et al 2014 data.[30] See page “Summary”, columns B through E, rows 4 through 18.
- I combined averages from the two studies, and attempted to adjust crudely for age (because aviary hens were on average younger than cage hens at depopulation).[31]See “Summary” row 19 in the spreadsheet. The age adjustment used was a linear approximation of the mortality-age model in Weeks et al 2016 (Fig 3, p. 8 shows this model applied to a free range housing system). I requested the raw model outputs for all housing systems from the authors of the … Continue reading
When combined and adjusted in this way, mortality rates appear to be 1.79 to 2.44 percentage points (32-49%) higher in aviaries than in cages. The low-end figure comes from aggregating outcomes based on flock numbers (giving little weight to Karcher et al 2014) while the high-end figure comes from aggregating based on the number of hens (in which case Karcher et al 2014 gets relatively more weight).
My removal of low-mortality outliers from the Weeks et al 2016 dataset and my adjustment for age differences play a crucial role in getting a mortality difference this large; without adjusting for age, aviaries would have 0.66 to 1.66 percentage points (12-33%) higher mortality, and the difference would shrink further (and possibly reverse direction) if the original data points with very low mortality were not excluded. On the other hand, if I had chosen to remove data points with mortality rates lower than 2% or 3%, or chosen to give Karcher et al 2014 more weight, the difference would widen. One could argue that Karcher et al 2014 deserves more weight than its sample size implies, given that it represents a large scale test on a commercial U.S. farm. I do not agree with this because the managers’ inexperience with cage free systems and failure to use breeds optimized for cage free rearing leaves me skeptical that it represents a likely long-run outcome. I do think it should make us cautious about the possibility of increased mortality in the first few years after the transition to aviary systems, as discussed below.
My method for combining and analyzing the two studies has been ad-hoc, and I would be interested to see sensitivity tests with different thresholds for removing extreme values as well as different weights given to Karcher et al 2014 in the final average.
The Layers 2013 survey of U.S. egg farms
USDA 2013 is a Department of Agriculture survey of a sample of U.S. egg farms which includes questions about hen mortality. Because USDA 2013 was not an academic study directly aiming to compare hen outcomes in cage and cage-free housing, I did not find it in my original literature search described above. After the majority of this report was written, Lewis encountered a Washington Post article which cited USDA 2013 for the claim that organic farms (which are all cage-free) have similar mortality levels to non-organic farms (which are almost all caged). He then found the original report and passed it onto me.
After examining it, corresponding with one of the statisticians involved, and briefly searching for other similar surveys, I concluded that USDA 2013 is a particularly informative source. As far as I am aware, it is the most recent collection of mortality data from operational commercial U.S. cage and cage-free farms. Additionally, the survey attempts to gather data from a representative sample of farms within each size category and use weighting to counter sampling bias (see below); as far as I am aware, Weeks et al 2016 did not prioritize representativeness, only the availability of raw data.[32]“Cumulative mortality data were collated from nine different UK sources, and one source that provided information from the Netherlands and Sweden (Table 1). Data sources were selected for relevance and in particular the availability of raw data. Data were provided from previously published … Continue reading
USDA 2013 used hierarchical selection to sample farms for the survey. First, 19 U.S. states were chosen so that the set of states would account for more than 70% of the egg farms in the country; my impression is that this phase of the selection was nonrandom.[33]“The goal for NAHMS national studies is to include States that account for at least 70 percent of the animal and farm population in the United States. A total of 19 States were selected for inclusion in the study based upon each State’s contribution to the total number of U.S. table-egg farms … Continue reading Within each state, farms were selected with a stratified random sampling procedure. The population of farms was divided into four size buckets – 3000-30,000 birds, 30,000-50,000 birds, 50,000-100,000 birds, and greater than 100,000 birds – and an equal number of farms were randomly selected from each bucket.[34]“The Food and Drug Administration (FDA) maintains a list of egg-producing operations with 3,000 or more laying hens that produce eggs for the table-egg market. A random sample of farms was selected from this list within 4 size strata (3,000 to 29,999, 30,000 to 49,999, 50,000 to 99,999, 100,000 … Continue reading This resulted in 692 eligible farms, of which 47 farms (6.8%) were unreachable. Of the 645 farms contacted, 317 (49.1%) refused participation.[35] “Of the 804 farms selected, 112 (13.9 percent) were ineligible (breeder farms, pullet farms, duplicate farms, etc.). Of the 692 eligible farms, 317 refused participation and 47 were unable to be contacted. Of the 645 farms that were contacted, 328 participated (50.9 percent).” Each farm in the sample was weighted to adjust for the effects of non-response bias, but I was not able to vet the weighting procedure in depth.[36] “Data were weighted to reflect the population from which they were selected. The inverse of the probability of selection for each farm was the initial selection weight. This weight was adjusted for nonresponse within State and size stratum.” USDA 2013, p. 91. Data was collected through in-person interviews with farm personnel,[37]“Veterinary medical officers from USDA–VS contacted producers from June 1 to September 30, 2013. Questionnaires were completed via in-person interviews. Questions regarding pullet rearing, Salmonella Enteritidis testing, and vaccination were primarily answered by a company representative, while … Continue reading though our understanding is that most farms keep records of mortality, so farmers would likely have looked up a pre-recorded value during the interview.
Because the public report did not provide summary figures broken down by housing system type, I contacted the authors to request average mortality figures for cage and cage-free systems. The following averages are the total deaths across all houses of the given type divided by the total number of birds across all houses of that type, and adjusted for sampling bias as described in the previous footnote. Standard errors are given in parentheses.[38] Personal correspondence, Dr. Lindsey Garber at USDA-APHIS. July 25, 2017.
| FARM TYPE | MORTALITY AT 60 WEEKS |
|---|---|
| Caged | 5.2 (0.3) |
| Cage-free (organic) | 4.9 (0.5) |
| Cage-free (not organic) | 4.5 (0.6) |
| Cage-free (overall) | 4.7 (0.4) |
As in Weeks et al 2016, the mortality rates are fairly similar, and cage free systems may have somewhat more variable mortality. This data seems to suggest that mortality in aviaries may be slightly lower than in cages, although this result is not statistically significant.
Of the three sources I have examined in detail, it seems likely to me that USDA 2013 will prove to be the most predictive of post transition cage-free mortality rates. It is a large recent sample of currently-operating U.S. farms, which combines the strengths of Weeks et al 2016 and Karcher et al 2014. While Weeks et al 2016 gathered empirical data from commercial cage-free farms, they were U.K. farms, which are subject to a different set of environmental and regulatory conditions. On the other hand, Karcher et al 2014 was based in the U.S., but the aviary was constructed specifically for the purpose of the experiment, and the farmers had no experience with cage-free systems and were not rearing birds that were optimized for cage-free systems.
However, there are still reasons to believe USDA 2013 may not be particularly predictive of the post-transition housing ecosystem:
- Cage-free systems have been the industry standard in the U.K. for many years, but in U.S. farmers who had cage-free operations in 2013 (prior to the corporate cage-free pledges) may have been more concerned with hen welfare or more attentive to reducing mortality than average.
- I am unsure how the data was adjusted for nonresponse bias, or how well the adjusted data approximated a true random sample of U.S. farms.
- Cage-free houses are much smaller than battery cage facilities in this dataset: 95% of small farms (with fewer than 30,000 birds) were cage-free, while 96% of large farms (with more than 100,000 birds) were caged.[39] USDA 2013, p. 11. Once the majority of the industry switches over to cage-free, aviaries will likely become much larger. (Note that because the averages I report are weighted by bird count, the impact of this size-based skew is unlikely to be extreme: while there are fewer large farms among the cage-free data points, each one contributes much more to the average.) I am unsure how farm size will affect mortality rates; when I interviewed animal welfare scientists (see below), a couple of them emphasized that larger housing systems tend to be more professionally managed and have lower mortality rates, but I do not know if this is a consensus position.
The transition cost hypothesis
After doing this analysis, the hypothesis that seemed to best explain why the aviary system had substantially higher mortality than the cage system in Karcher et al 2014, while mortality in aviaries was roughly comparable with cages in the Weeks et al 2016 and USDA 2013 datasets was that there will be a “transition period” of abnormally high mortality while farmers learn best practices for managing an aviary system and breeders adapt hen strains for the new environment. Other things being equal, farmers have an incentive to reduce mortality rates in their flocks. High mortality rates reduce total egg production per flock, primarily because producers typically cannot replace dead birds by adding new birds to the flock.
However, I did not attempt to model the monetary costs to farmers of a percentage point of mortality, or the costs of managerial practices that may reduce mortality. I am uncertain about what we should expect to see once the transition period ends and mortality rates have stabilized in aviaries. Weeks et al 2016 and USDA 2013 are the most credible sources I am aware of which collect empirical data from a large number of actually-operating cage and cage-free facilities. They both support the hypothesis that post-transition mortality in aviaries will be roughly similar to mortality in battery cages. When I threw out what seemed to be low-end outliers, Weeks et al 2016 seems to indicate that mortality will be slightly higher in aviaries than in battery cages, while USDA 2013 indicates cage-free mortality may be slightly lower. Both sources agree that mortality will be more variable in cage-free systems, and the scientists I spoke with claim that cage-free systems require more effort to manage effectively.
Conversations with experts
I also contacted experts on hen welfare and the U.S. and U.K. egg industries to ask clarifying questions. I spoke with nine people in total. Seven were academic researchers in animal welfare science, poultry science, or veterinary science (three from the U.K., two from Canada, and two from the U.S.). One was a former scientist currently working for an animal advocacy organization, and one was a U.S. egg industry representative. Unfortunately, none of them were comfortable being identified by name or with the publication of detailed conversation notes.
I asked about:
- How mortality rates differ between current commercial battery cage systems and aviary systems and how we can expect mortality rates to change over time after U.S. producers switch to cage-free housing
- Whether higher mortality is a strong indicator of worse overall welfare and which housing systems were holistically best for hen welfare
Beliefs about mortality rates and the transition cost hypothesis
All experts agreed that mortality rates are significantly more variable in aviary systems (a view that is supported by the summary statistics in Weeks et al 2016) and that it takes more skill to successfully manage an aviary system.
Of the seven experts who expressed a specific opinion, six claimed that mortality rates were on average somewhat higher in cage-free systems, even in areas where farmers had years of experience managing aviary systems. The scientist who seemed to disagree with the majority stressed that “well-managed” U.K. aviary systems achieve mortality rates at least as low as those in battery cages. However, I was unable to get a clear understanding of what fraction of aviary systems they would consider to be well-managed in this sense.
There was not a strong consensus on the likely causes of additional mortality. Possibilities cited in at least one conversation include: getting caught in the aviary structure, accidents from flying up to or off of high perches, increased rates of aggressive/severe feather pecking, increased rates of infectious disease, and nutrition that was inadequate to the increased exercise levels. Two scientists denied the hypothesis that feather pecking occurred at greater rates on cage-free farms, at least in the U.K.
The three U.K. scientists and two Canadian scientists I spoke with said that in the U.K. and Canada mortality rates were initially quite elevated after a major production shift to cage-free housing around 2009-2012, but have gone down since then due to a combination of improved housing system design, more optimized genetics, and greater management experience.
All scientists were broadly in agreement with the transition cost hypothesis, although no one offered concrete estimates for how high mortality rates would be during the transition or how long the transition may last. Some information that may bear on that question:
- One U.K. scientist claimed that the physical structure of aviary systems played a large role in high mortality rates during the U.K. transition, and housing manufacturers (which tend to serve an international market) would have already adapted their standard designs to address these issues, leading that scientist to be optimistic that the transition in the U.S. would be shorter and less severe in the U.S. than it was in the U.K.
- Similarly, a geneticist claimed that U.K. and European producers have already introduced strains with some amount of genetic adaptation to aviary systems, which U.S. producers may be able to use or adapt for their needs. However, two U.K. scientists pointed out that U.K. breeds already adapted to aviary systems tended to lay brown eggs, which the U.S. consumer market may not accept.
- All seven scientists claimed management experience is an important ingredient in maintaining low mortality rates in aviary systems, and they would expect U.S. producers to have some period of poor management.
Holistic assessment of cage-free housing
Overall, U.K. and Canadian scientists tended to be in favor of cage-free reforms and to endorse the statement that cage-free housing is better for hens all things considered; when asked about mortality rates, they tended to emphasize that mortality is only one aspect of well-being and often over-emphasized because it is easy to measure and correlates with profit. On the other hand, American scientists (as well as the egg industry representative) tended to claim that furnished cages were the highest welfare system, and aviaries were likely lower-welfare than battery cages.
Our understanding is that U.S. poultry scientists are more likely to get substantial funding from the egg industry, while U.K. animal welfare scientists are more likely to be independent academics. We believe it is possible that U.S. scientists were more inclined to support cage-based systems (which are more efficient production-wise) in part due to their greater alignment with industry interests. Van der Schot and Phillips 2013 found preliminary evidence that industry-funded animal welfare studies were more likely to endorse conventional production systems and oppose new systems than studies funded by government and animal welfare charities. (However, the study had a small sample size, largely because only 13% of animal welfare science articles reviewed revealed the authors’ funding source.)
Take the two mortality studies addressed in this paper. The authors of the U.K. Weeks et al 2016 disclosed that “The authors received no specific funding for this work. Funds from the Tubney Charitable Trust will be used to support publication” and “The authors have declared that no competing interests exist.” By contrast, the authors of the Karcher et al 2014 study did not disclose funding sources or competing interests in their paper. But the study was funded primarily through a $6 million grant from the CSES, which was principally funded by egg producers and food companies. Additionally, the co-scientific directors for the CSES project, Dr. Joy Mench and Dr. Janice Swanson, are both members of the United Egg Producers scientific advisory committee.[40] UEP Animal Welfare Standards 2017, p. 6. Anecdotally, we have noticed cases of U.S. animal welfare scientists using metrics for animal welfare that appear more production-focused than welfare-focused; we have not noticed a similar pattern in U.K. scientists.[41]The American Veterinary Medical Association (AVMA), for instance, produced the following chart: The above chart was expanded from the chart on pg. 10 of this European-led project to investigate hen welfare. In addition to the welfare indicators in the original, the AVMA introduced “Bone … Continue reading
Late in the development of this report, Lewis alerted me to Matheny and Leahy 2007, a paper comparing animal welfare practices and legislation across different countries. The authors of this paper appear to share my impression that production-focused metrics are more emphasized in U.S. research than European research (and more broadly argue that the field of animal welfare science is less developed and less valued in the U.S. than it is in Europe).[42]“Most animal-welfare research in the United States has taken production to be the principal measure of welfare, whereas European research has taken an ethological route, studying what animals choose to do when given options.125” Matheny and Leahy 2007, p. 343. “The United States has … Continue reading It is important to note that I did not conduct any broad literature search for reports comparing the scientific fields or policy standards in the two regions, and did not vet this source – as such I do not consider this one paper particularly strong evidence on its own for my claims. I include it here mainly to show that my interpretation of European and U.S. animal welfare science is shared by some others.
Brief spot check of behavioral opportunities
Having concluded that the mortality effects of the transition to cage free housing were uncertain and it was plausible mortality would be somewhat higher in aviaries, I wanted to review the evidence on the behavioral differences between the systems to begin to consider how to compare the overall differences.
Aviaries provide hens with opportunities to perform behaviors that are difficult or impossible to perform in battery cage systems (for more details and citations see the following sections on individual behaviors):
- The increased floor space and vertical space provided in aviary systems allows hens to walk, jump, fly, flap or stretch their wings, and wag their tails at substantially greater rates.
- Elevated perches are provided for hens to roost on at night.
- Separate nest boxes are provided for egg laying.
- Substrates such as litter, straw, or wood shavings are provided for foraging and dustbathing.
While the existence of these increased behavioral opportunities is uncontroversial, it is less clear how they may impact hen welfare. Some animal advocates cite the fact that these behaviors are natural as reason to believe that their performance is important for subjective well-being and their denial causes frustration, while others counter that many natural behaviors (e.g. aggression or predator avoidance) are unlikely to involve a positive subjective experience.
I investigated this question quite briefly. My main source was the 2015 textbook Behavioral Biology of Chickens (Nicol 2015).
Claims made in Behavioral Biology of Chickens and their application to U.S. housing
Chapter 4 of Nicol 2015 describes study designs used to infer hen preferences:
- Demand studies: Hens are taught to pay some cost (e.g., pushing a heavy door) in order to get access to a behavioral opportunity. The higher the cost they are willing to endure, the stronger their preference for the opportunity is assumed to be.
- Time budget studies: Hens are given a certain number of hours of free time in a rich environment to choose activities. As the amount of allotted free time shrinks, hens are forced to reduce time spent on some activities. Activities that are significantly reduced or cut out are considered to be “luxuries”, while ones that continue to take up similar amounts of time are considered “necessities.”
Chapter 5 surveys preference literature and reports some conclusions regarding the strength of hen preferences for various behavioral opportunities. In the next sections I summarize claims made in this Nicol 2015 Chapter 5 about five key laying hen behaviors, and then discuss the degree to which each behavior can be performed in U.S. battery cages and aviaries (although note that I have not vetted the original studies cited in Nicol 2015 and so cannot confirm statements from that book).
Feeding and foraging
Laying hens appear to spend around 40% of their daylight time budget performing foraging and feeding behavior, spending longer in enriched environments with appropriate foraging substrates. They exhibit a degree of contrafreeloading – a preference to forage for food even when the same food is freely available. One demand study found that hens would work a similar amount for access to a foraging substrate as they would for access to food directly.[43]“Often around 40% of the daytime activity is devoted to foraging activities (Bubier, 1996a,b; Klein et al., 2000)….Chickens forage for longer when in enriched environments where suitable substrates are available (Klein et al., 2000; Nicol et al., 2001)….[Hens] exhibit a phenomenon called … Continue reading
Our understanding is that food is generally provided without restriction in both types of housing systems. However, there is typically no foraging substrate provided in cages,[44]“Conventional laying cages (CC) are usually small enclosures with welded wire mesh sloping floors.They provide equipment only for feeding, drinking, egg collection, manure removal, insertion and removal of hens, and claw shortening. … [Conventional cages do not] provide equipment intended to … Continue reading while the UEP guidelines require aviaries to cover 15% of floor space with loose manipulable litter which hens may use for foraging.[45] “All cage-free houses will be required to provide a minimum 15% of the total space for litter….The litter must be maintained in a loose, friable condition. When wet and hard packed areas occur, they must be corrected daily.” UEP Animal Welfare Standards 2017, p. 26. We are unsure whether this adequately provides for all hens’ foraging motivation.
Nesting and laying
Nesting behavior is likely motivated by hormonal changes that begin approximately one hour before the laying period. Over the course of this hour, hens are willing to pay increasingly higher costs to access a nest site. One study found that 20 minutes before lay, hens were willing to pay a price for nest access significantly higher than the price they were willing to pay for access to food after 4 hours of deprivation. Most hens prefer nest sites that are partly enclosed and contain manipulable nesting material (e.g. straw); they appear motivated to build a fresh nest every lay cycle, rather than occupy a previously-built nest.[46]“Approximately 1h before egg-laying, domestic hens exhibit behavioral changes including increased activity and restlessness. These changes are stimulated by hormonal changes preceding oviposition.” Nicol 2015, Location 3136. “As the sitting phase of nesting approaches, hens will pay … Continue reading
In battery cages, there is no designated nesting area,[47]“Conventional laying cages (CC) are usually small enclosures with welded wire mesh sloping floors.They provide equipment only for feeding, drinking, egg collection, manure removal, insertion and removal of hens, and claw shortening. … [Conventional cages do not] provide equipment intended to … Continue reading whereas the UEP requires aviaries to provide a minimum of 83.6 cm^2 of dark nesting space per bird along with a substrate that encourages nesting behavior.[48]“A minimum of 9 square feet of nest space per 100 hens must be provided. 2. Nest should be provided with a suitable floor substrate that encourages nesting behavior. Nests with wire floors or plastic coated wire floors alone should be avoided. The provision of loose litter material in nests … Continue reading Note that this substrate may or may not be a material suitable to actually construct a nest – e.g., it could be a non-manipulable rubber pad that a hen will choose to lay an egg on. We are uncertain how this distinction affects the subjective experience of nesting or the satisfaction of nesting motivation.
Nicol 2015 claims that hens in conventional cages show stereotyped pacing behavior prior to lay, which may indicate frustration.[49] “Hens in conventional cages or bare wire-floor pens show…exaggerated or stereotyped pacing prior to lay….When the only alternative to a nest box is a wire floor or a shallow coating of shavings, unsettled pre-lay behavior does seem to indicate frustration.” Nicol 2015, Location 3244.
Perching
Use of perches during the daytime varies substantially (between 3% and 40%) based on perch characteristics; however, a large majority of hens use them to roost at night. In one demand study which used pushing against a heavy door as a cost measure, the median resistance overcome to access a perch at night was 75% of the resistance overcome to access food after 24 hours of deprivation. One study found that access to perches is associated with a lower incidence of harmful feather pecking and cannibalism (possibly because perches allow subordinate birds to escape aggression).[50]“In commercial systems where perches are provided, there is considerable variation in the extent to which laying hens make use of perches during the day. In furnished cages, perch utilization during the day varies between about 25 and 40% (Braastad, 1990; Appleby et al., 1992, 1993; Duncan et … Continue reading Height appears to be an important component in hens’ preferences for perches: higher perches tend to have greater utilization rates, and in one experiment hens were shown to prefer 60 cm perches to 20 cm perches.[51]“[In Schrader and Muller (2009), hens] preferred high structures to low, and perches to grids, but when offered a choice between high grids or low perches, the height was by far the most important component in the hens’ preference. Newberry et al. (2001) also found that birds preferred 60 cm … Continue reading
Battery cages do not provide any perches.[52]“Conventional laying cages (CC) are usually small enclosures with welded wire mesh sloping floors.They provide equipment only for feeding, drinking, egg collection, manure removal, insertion and removal of hens, and claw shortening. … Furnished cages (FC) provide all the equipment found in … Continue reading In U.S. aviaries, the UEP requires a minimum of 15.2 cm of horizontal perch space per bird, with at least 20% of the perch space elevated 40.6 cm or more off the ground.[53] “A minimum of 6 inches of usable linear perch space should be provided per hen so that all hens are able to perch at the same time….At least 20% of the perch space must be elevated a minimum of 16 inches above the adjacent floor.” UEP Animal Welfare Standards 2017, p. 25. We are unsure how tall the remaining 80% of perch structures are, or how that would affect the degree to which perches improve welfare and satisfy hen preferences.
Dustbathing
Dustbathing (where hens toss particles of dust through their feathers or roll in dust) cleans feathers of lipids and parasites. Demand studies have shown that hens tend to pay some cost to access most dustbathing substrates, and will pay a greater cost to access substrates with fine particles (e.g. sand or peat) than coarse particles (e.g. straw or wood shavings).[54]“Dustbathing is a behavior that removes stale lipids (van Liere, 1992) and ectoparasites (Martin and Mullens, 2012) from the chickens’ feathers. Hens that used an available dustbath reduced their mite and lice infestations by 80-100% within a week in comparison to non-users, with sulfur a … Continue reading
In U.S. aviaries, our understanding is that the floor litter that is provided may be used for dustbathing in addition to foraging (although we are not sure how suitable the material would be); there is no suitable dustbathing substrate provided in battery cages. In battery cages, hens sometimes perform incomplete “sham dustbathing”, scattering substances such as feed or “going through the motions” in the absence of a substrate. Sham dustbathing does not appear to reduce dustbathing motivation as much as proper dustbathing (that is, hens tend to attempt dustbathing behavior again soon after a bout of sham dustbathing, whereas after a bout of true dustbathing hens appear “satisfied” for a longer period of time).[55]“In housing systems where a good substrate is not available, chickens may perform partial or incomplete sequences of dustbathing (‘sham dustbathing’) behavior on wire floors, often scattering feed as a substitute for a proper substrate (Lindberg and Nicol, 1997). Sham dustbathing has been … Continue reading
Possible comfort behaviors
This is a catch-all term for a set of short movement behaviors including stretching, jumping, body shaking, wing flapping, and tail wagging. Not all researchers agree on the precise set of activities that count as “comfort behaviors” and the link between these behaviors and subjective comfort is not experimentally established. Comfort behaviors require significant space to perform unrestrictedly – for example, one observational study which videotaped unrestricted hen behavior showed that wing stretching and flapping occupied between 650 and 850 cm^2.[56]“The term ‘comfort behavior’ was used by Krujit (1964) to describe the movements of stretching, yawning, preening, dustbathing, head shaking, and tail shaking in the junglefowl….However, the term has been used in different ways by different authors, and rarely with any independent evidence … Continue reading One experimental study found that birds who were moved from a spatially restricted pen to a much larger pen performed comfort behaviors at a significantly greater rate than birds who were always living in the larger pen. This may imply that there is an internal motivation to perform comfort behaviors that is restricted or frustrated while birds are spatially restricted. One study seemed to indicate that birds’ demand for additional space tapered at the point that they had 700-800 cm^2, and (at least in the U.K.) stocking density in aviary systems did not have a limiting effect on the rate of comfort behavior.[57]“Nicol (1987b) reported that wing/leg stretching, wing flapping, tail wagging, and preening increased dramatically in rate after prevention by spatial restriction, indicating a strong internal component to their motivation.” Nicol 2015, Location 3564. “Birds’ preference and demand for … Continue reading
If these estimates of space usage and needs are correct, then most hens would be able to perform most of their full range of comfort behaviors in aviaries but not in battery cages: the UEP animal welfare guidelines require a minimum of 929 cm^2 per bird in U.S. aviary systems, but only 432 to 555 cm^2 of space per bird in U.S. battery cages.[58]“Space allowance should be in the range of 67 to 86 square inches of usable space per bird to optimize hen welfare.” UEP Animal Welfare Standards 2017, p. 19 (under “Guidelines for Cage Production Systems”). Converting to metric, that is 432 cm^2 to 554.8 cm^2. “In more modern … Continue reading Note that the metric we use here – average floor space per bird – is not necessarily indicative of the space available to a particular bird at a particular point in time because hens may flock together. For example, there are 3-6 birds housed together in one battery cage, which means that UEP-certified battery cages have a total area of 1296 cm^2 to 3330 cm^2 – if other birds flock together in a small area, then one or two birds may have enough space to partially perform comfort behavior. In aviaries, there are typically thousands of birds under one roof, so the effects of some proportion of the group flocking closely will be more dramatic.
My partial assessment of research quality
As I mentioned in the previous section, I did not thoroughly vet these claims, although they generally appear plausible to me. In order to get a quick impression of the quality of the research in this field, I chose four studies (out of approximately 20 that were cited in Nicol 2015 to support the set of claims I summarize above) for close examination. These were:
- Bubier 1996, which tested motivation for many amenities at once. Hens chose which of seven possible rooms to spend time in. Each room contained a different resource (these were grass, a perch, a nest box, food and water, wood chips, companion hens, or extra empty space). In the control condition hens could move freely between the seven rooms, while in the experimental conditions there was a cost imposed to move from one room to the other (hens had to squeeze through a narrow gap). The fraction of time spent in each room was measured as an outcome variable; the study found that when greater costs were imposed hens tended to spend a larger fraction of their time in the room with food and water and the room with empty space.
- Cooper and Appleby 1996, which tested demand for a nest box. Hens were housed in a home pen, connected through a doorway to a nest pen containing nest boxes. The cost to access the nest pen from the home pen was increased by narrowing the width of the doorway between them; the study found that hens were willing to pay the highest cost imposed (i.e. squeeze through the doorway at its narrowest) in order to access the nest box before lay.
- Olsson and Keeling 2002, which tested demand for a perch. Hens had to push through a weighted door at different resistance levels to access a perch; the study found that hens were willing to overcome large resistances to access the perch (the median resistance overcome was 75% of each hen’s personal maximum – defined as the maximum weight that hen will push to access food after 24 hours of deprivation).
- Nicol 1987, which studied rebound rates of comfort behavior after a period of spatial restriction. It found that hens who were moved from a small pen to a much larger pen performed comfort behaviors at a greater rate (during a six hour observation period) than birds who had always been in the larger pen.
I did not select these studies randomly. I chose to focus on nesting behavior, perching behavior, and comfort behavior, because they appeared to be the most important behavioral benefits according to my reading of Nicol 2015. Among these studies, I applied an informal filter for likely quality and relevance: I preferred highly cited, relatively recent studies that focused on quantitatively estimating the strength of a preference, as opposed to merely demonstrating the existence of one.
All of these experiments had very small sample sizes (ranging from 7 to 16 hens). They typically employed a crossover design: each individual hen received both the experimental and the control treatment, serving as her own control. Despite small sample sizes, reported p-values were quite low (less than 0.01 in most cases) because all hens displayed clear and large behavior difference between the treatment and control conditions. For example, in Bubier 1996 all 16 hens substantially shifted time allocation across activities once there was a cost imposed to switching activities, and in Olsson and Keeling 2002 all 7 hens pushed a heavy weight to access a real perch while pushing no weight to access a sham perch.
I expect these effects are real, but I have not fully ruled out publication bias, p-hacking, and other ways in which the results of this research could be misleading.. I am not aware of replications of any of these experiments, and I am not especially confident their results would successfully replicate.
If these studies are representative of the general quality of research cited in Nicol 2015, I would consider the collective body of studies to be fairly strong evidence that aviaries provide hens with amenities and opportunities that are important to them. The costs hens are willing to pay to access these opportunities seem intuitively substantial (in some cases they are benchmarked against the cost hens are willing to pay to access food after a certain amount of deprivation).
Our current beliefs, and updates from our initial position
Overall, we are less confident in our position, and in particular we believe we gave DeMol et al 2006 too much weight in our judgment – after examining it more closely, we feel unconvinced by its methodology and no longer believe its quantitative scoring of housing systems provides substantial evidence beyond our intuitive judgments of the importance of various behavioral opportunities.
We are more confident that aviaries provide behavioral opportunities that are of some significant value to hens than that the value provided by those opportunities outweighs suffering caused by the possible increase in disease or injury in the short-term. It seems to us that a) it is possible to reliably reduce suffering from injury and disease in aviaries to be at or below the level currently found in cages (for example by reducing stocking density and providing adequate veterinary care and analgesics) and b) hens in such a system would have significantly higher welfare than would be possible in any battery cage system. This suggests that transitioning to aviaries may be a necessary step to reducing laying hen suffering in the long-term, even if it is not sufficient without additional reforms.
That said, our current – though uncertain – best guess is that even without additional reforms, the U.S. transition to cage-free housing systems will on net reduce hen suffering once mortality rates have stabilized. Some reasons we have this intuition:
- As we explained above, the behavioral opportunities provided in aviaries appear intuitively to be substantial benefits: according to UEP standards each hen will be provided with 1.6 to 2.1 times as much space, as well as some degree of ability to perch, forage, dustbathe, and nest (none of which are possible in a battery cage, and all of which appear to be valuable according to hens’ revealed preferences in the research we have seen so far).
- Producers have a monetary incentive to find ways to lower mortality rates, especially if they are initially abnormally high, and the experts we spoke with agreed that U.K. producers did manage to bring down mortality largely on their own. We have little sense of what to expect in terms of the difference in mortality rates in the long run; the average from our combined analysis of Weeks et al 2016 and Karcher et al 2014 implies aviaries will have a couple percentage points higher mortality, while USDA 2013 implies that aviaries may have slightly lower mortality. While I consider USDA 2013 to be the more credible written source, several of the scientists I spoke with were concerned that mortality would be higher in cage-free systems, and I consider this a very plausible outcome.
- Only a minority of birds are impacted by increased mortality, while behavioral benefits accrue to almost all birds. It is true that the conditions which result in increased mortality likely impact a larger number of birds than actually die – e.g. a small number of birds may die from falling off a perch while a larger number may incur non-fatal injuries from similar falls. However, the total number of such affected birds is likely still small relative to the flock size. If mortality will be high during the transition as we believe, then it appears that from the perspective of an individual bird, risk of injury or disease increases somewhat, but behavioral opportunities increase quite significantly.
- European and Canadian welfare scientists who have been through cage-free transitions tend to claim that aviary systems are superior to cages (including furnished cages). We find them to be somewhat more credible than American scientists because they appear more independent of industry interests, as discussed above.
Overall, we continue to endorse our decision to support corporate cage-free reform campaigns. This position depends partly on our beliefs about the immediate welfare consequences of the change in housing system – which have been updated and clarified by this investigation – and partly on other considerations, which I have not examined in this investigation.[59]
Relevant considerations outside the scope of this investigation include:
Though we stand by our bottom line, we appreciate the pushback from Direct Action Everywhere for prompting us to look more closely at the evidence base.
Appendix: Examination of DeMol et al 2006
DeMol et al 2006 uses a quantitative welfare model called FOWEL. FOWEL models each hen housing system as a list of 25 values between 0 and 1, indicating how positive that housing system is in each of 25 system attributes (e.g. “Space per hen” or “Air quality”). For example, the attribute “Space per hen” has 6 possible levels, ranging from “450-60 cm2” to “> 2000 cm2.” These six levels are represented as six discrete values: 0, ⅕. ⅖, ⅗, ⅘, and 1.
The goal of the model is to map this 25-dimension description of a hen housing system to a single welfare score between 0 and 10. Most of the work of FOWEL’s model is in computing the importance of each system attribute – this number is supposed to represent the welfare impact of moving from the worst level of the attribute to the best. Impacts on welfare are categorized into one of 12 welfare categories: Pain, Illness, Reduced survival, Decreased [genetic] fitness, activation, Sympathetic-Adrenal-Medullary activation, Aggression, Abnormal behavior, Frustration and avoidance, Natural behavior, Preferences, and Demand.
FOWEL interprets individual sentences in the scientific literature as numerical associations (usually with magnitude 1, 2, or 3) between an attribute level and one of the welfare categories. For example, the statement “Dust bathing in the experimental cages generally took place during the afternoon in a single bout of about 5 min duration, whereas in the conventional cages it was brief and fragmented” is supposed to relate level ¼ (that is, the second level out of five) of the “Dust bathing” attribute to the “Natural behavior” welfare category with an association of +2, indicating moderate positive effects. (If the category in question is harmful to welfare – e.g. “Pain” or “Illness” – associations with the category have a negative value.)
An attribute level’s welfare effect is given by the sum of its largest associations in each welfare category. An attribute’s overall importance is the difference between the welfare effects of its best and worst levels.
Given this set up, the raw welfare score of a housing system can be calculated as a weighted sum with 25 terms: each term corresponds to one attribute (e.g. space) and is the product of the housing system’s level for that attribute (a number between 0 and 1 as described earlier), and the importance of that attribute (calculated as described above). A score between 0 and 10 is obtained by normalizing the raw score.
We don’t consider FOWEL to be a very reasonable procedure for mapping housing descriptions to welfare scores. In particular, the translation of individual sentences in the scientific literature into associations between attribute levels and welfare categories did not strike us as a useful modeling choice. When we requested access to a partial sample of the database of scientific statements and their weighting scores, we did not find it straightforward to translate most of them into a relation between an attribute level and a weighting category with a certain degree of intensity. We disagreed multiple times with the association intensity or welfare category chosen in the paper.
Additionally, it seems that there is some double-counting in the definition of the welfare categories (e.g. it seems “Illness”, “Reduced Survival”, and “Decreased Fitness” would have strong overlap in the information they provide). Some negative categories (e.g. “Decreased [genetic] fitness” or the release of certain hormones associated with both stress and positive excitement) are not obviously indicative of subjective suffering.
More broadly, DeMol et al 2006 strikes us as an exercise in excessive quantification and systematization (in light of the relatively low amount of explanation and checkability), in an area where evidence is uncertain and in-depth critical judgment is necessary to draw meaningful conclusions.
Sources
Footnotes
